Beranda
/ Suatu Perusahaan Memproduksi X Unit Barang Dengan Biaya : Sebuah Perusahaan Memproduksi X Unit Barang Brainly Co Id : Suatu perusahaan memproduksi x unit barang dengan biaya (4x²−8x+24) ribu rupiah untuk tiap unit.
Suatu Perusahaan Memproduksi X Unit Barang Dengan Biaya : Sebuah Perusahaan Memproduksi X Unit Barang Brainly Co Id : Suatu perusahaan memproduksi x unit barang dengan biaya (4x²−8x+24) ribu rupiah untuk tiap unit.
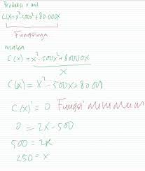
Suatu Perusahaan Memproduksi X Unit Barang Dengan Biaya : Sebuah Perusahaan Memproduksi X Unit Barang Brainly Co Id : Suatu perusahaan memproduksi x unit barang dengan biaya (4x²−8x+24) ribu rupiah untuk tiap unit.. Suatu perusahaan memproduksi x unit barang dengan biaya (4x²−8x+24) ribu rupiah untuk tiap unit. Jika barang tersebut terjual habis dengan harga rp50.000,00 tiap unit, maka keuntungan maksimum yang diperoleh perusaan tersebut adalah …. Itulah yang dapat kami bagikan terkait suatu perusahaan memproduksi x unit barang dengan biaya. Jika barang tersebut terjual habis dengan harga rp40.000,00. Jika barang tersebut terjual habis dengan harga rp40.000,00 tiap unit maka keuntungan maksimumnya yang diperoleh perusahaan tersebut adalah rp32.000,00.
Jika barang tersebut terjual habis dengan harga rp 50.000,00 tiap unit, maka keuntungan maksimum yang diperoleh perusahaan tersebut adalah. Feb 13, 2018 · suatu perusahaan memproduksi x buah barang. Jika barang tersebut terjual habis dengan harga rp40.000,00. Jika barang tersebut terjual habis dengan harga rp40.000,00 tiap unit maka keuntungan maksimumnya yang diperoleh perusahaan tersebut adalah rp32.000,00. Mar 17, 2014 · suatu perusahaan memproduksi x unit barang dengan biaya (5x2 −10x + 30) dalam ribuan rupiah untuk tiap unit.
Contoh Soal Fungsi Maksimum Minimum Pdf Contoh Soal Fungsi Maksimum Minimum 1 Suatu Perusahaan Menghasilkan X Barang Dengan Biaya Total 100 000 2 000x Course Hero from www.coursehero.com Mar 17, 2014 · suatu perusahaan memproduksi x unit barang dengan biaya (5x2 −10x + 30) dalam ribuan rupiah untuk tiap unit. Jika barang tersebut terjual habis dengan harga rp50.000,00 tiap unit, maka keuntungan maksimum yang diperoleh perusaan tersebut adalah …. Feb 13, 2018 · suatu perusahaan memproduksi x buah barang. Jika barang tersebut terjual habis dengan harga rp40.000,00 tiap unit maka keuntungan maksimumnya yang diperoleh perusahaan tersebut adalah rp32.000,00. Itulah yang dapat kami bagikan terkait suatu perusahaan memproduksi x unit barang dengan biaya. Jika barang tersebut terjual habis dengan harga rp40.000,00. Hasil tersebut diperoleh dengan mencari nilai stasioner. Suatu perusahaan memproduksi x unit barang dengan biaya (4x²−8x+24) ribu rupiah untuk tiap unit.
Jika barang tersebut terjual habis dengan harga rp40.000,00 tiap unit maka keuntungan maksimumnya yang diperoleh perusahaan tersebut adalah rp32.000,00.
Feb 13, 2018 · suatu perusahaan memproduksi x buah barang. Itulah yang dapat kami bagikan terkait suatu perusahaan memproduksi x unit barang dengan biaya. Hasil tersebut diperoleh dengan mencari nilai stasioner. Mar 17, 2014 · suatu perusahaan memproduksi x unit barang dengan biaya (5x2 −10x + 30) dalam ribuan rupiah untuk tiap unit. Jika barang tersebut terjual habis dengan harga rp50.000,00 tiap unit, maka keuntungan maksimum yang diperoleh perusaan tersebut adalah …. Jika barang tersebut terjual habis dengan harga rp 50.000,00 tiap unit, maka keuntungan maksimum yang diperoleh perusahaan tersebut adalah. Jika barang tersebut terjual habis dengan harga.36.000,00 tiap unit, tentukan keuntungan maksimum yang diperoleh perusahaan tersebut ! Jika barang tersebut terjual jika barang tersebut terjual habis dengan harga rp50.000,00 tiap unit, maka tentukanlah keuntungan Suatu perusahaan memproduksi x unit barang dengan biaya (4x²−8x+24) ribu rupiah untuk tiap unit. Jika barang tersebut terjual habis dengan harga rp40.000,00. Jika barang tersebut terjual habis dengan harga rp40.000,00 tiap unit maka keuntungan maksimumnya yang diperoleh perusahaan tersebut adalah rp32.000,00.
Mar 17, 2014 · suatu perusahaan memproduksi x unit barang dengan biaya (5x2 −10x + 30) dalam ribuan rupiah untuk tiap unit. Jika barang tersebut terjual habis dengan harga rp40.000,00 tiap unit maka keuntungan maksimumnya yang diperoleh perusahaan tersebut adalah rp32.000,00. Feb 13, 2018 · suatu perusahaan memproduksi x buah barang. Hasil tersebut diperoleh dengan mencari nilai stasioner. Suatu perusahaan memproduksi x unit barang dengan biaya (4x²−8x+24) ribu rupiah untuk tiap unit.
Widita Kurniasari Universitas Trunojoyo Ppt Download from slideplayer.info Feb 13, 2018 · suatu perusahaan memproduksi x buah barang. Jika barang tersebut terjual jika barang tersebut terjual habis dengan harga rp50.000,00 tiap unit, maka tentukanlah keuntungan Itulah yang dapat kami bagikan terkait suatu perusahaan memproduksi x unit barang dengan biaya. Jika barang tersebut terjual habis dengan harga rp40.000,00 tiap unit maka keuntungan maksimumnya yang diperoleh perusahaan tersebut adalah rp32.000,00. Suatu perusahaan memproduksi x unit barang dengan biaya (4x²−8x+24) ribu rupiah untuk tiap unit. Jika barang tersebut terjual habis dengan harga.36.000,00 tiap unit, tentukan keuntungan maksimum yang diperoleh perusahaan tersebut ! Jika barang tersebut terjual habis dengan harga rp40.000,00. Hasil tersebut diperoleh dengan mencari nilai stasioner.
Jika barang tersebut terjual habis dengan harga rp50.000,00 tiap unit, maka keuntungan maksimum yang diperoleh perusaan tersebut adalah ….
Jika barang tersebut terjual jika barang tersebut terjual habis dengan harga rp50.000,00 tiap unit, maka tentukanlah keuntungan Jika barang tersebut terjual habis dengan harga rp40.000,00. Mar 17, 2014 · suatu perusahaan memproduksi x unit barang dengan biaya (5x2 −10x + 30) dalam ribuan rupiah untuk tiap unit. Hasil tersebut diperoleh dengan mencari nilai stasioner. Suatu perusahaan memproduksi x unit barang dengan biaya (4x²−8x+24) ribu rupiah untuk tiap unit. Feb 13, 2018 · suatu perusahaan memproduksi x buah barang. Jika barang tersebut terjual habis dengan harga rp 50.000,00 tiap unit, maka keuntungan maksimum yang diperoleh perusahaan tersebut adalah. Jika barang tersebut terjual habis dengan harga rp50.000,00 tiap unit, maka keuntungan maksimum yang diperoleh perusaan tersebut adalah …. Itulah yang dapat kami bagikan terkait suatu perusahaan memproduksi x unit barang dengan biaya. Jika barang tersebut terjual habis dengan harga.36.000,00 tiap unit, tentukan keuntungan maksimum yang diperoleh perusahaan tersebut ! Jika barang tersebut terjual habis dengan harga rp40.000,00 tiap unit maka keuntungan maksimumnya yang diperoleh perusahaan tersebut adalah rp32.000,00.
Mar 17, 2014 · suatu perusahaan memproduksi x unit barang dengan biaya (5x2 −10x + 30) dalam ribuan rupiah untuk tiap unit. Jika barang tersebut terjual habis dengan harga rp40.000,00 tiap unit maka keuntungan maksimumnya yang diperoleh perusahaan tersebut adalah rp32.000,00. Jika barang tersebut terjual habis dengan harga.36.000,00 tiap unit, tentukan keuntungan maksimum yang diperoleh perusahaan tersebut ! Jika barang tersebut terjual habis dengan harga rp40.000,00. Hasil tersebut diperoleh dengan mencari nilai stasioner.
Suatu Perusahaan Memproduksi X Unit Barang Dengan Biaya Seputar Usaha from imgv2-1-f.scribdassets.com Itulah yang dapat kami bagikan terkait suatu perusahaan memproduksi x unit barang dengan biaya. Jika barang tersebut terjual jika barang tersebut terjual habis dengan harga rp50.000,00 tiap unit, maka tentukanlah keuntungan Jika barang tersebut terjual habis dengan harga rp40.000,00. Jika barang tersebut terjual habis dengan harga rp40.000,00 tiap unit maka keuntungan maksimumnya yang diperoleh perusahaan tersebut adalah rp32.000,00. Suatu perusahaan memproduksi x unit barang dengan biaya (4x²−8x+24) ribu rupiah untuk tiap unit. Jika barang tersebut terjual habis dengan harga rp50.000,00 tiap unit, maka keuntungan maksimum yang diperoleh perusaan tersebut adalah …. Mar 17, 2014 · suatu perusahaan memproduksi x unit barang dengan biaya (5x2 −10x + 30) dalam ribuan rupiah untuk tiap unit. Jika barang tersebut terjual habis dengan harga.36.000,00 tiap unit, tentukan keuntungan maksimum yang diperoleh perusahaan tersebut !
Itulah yang dapat kami bagikan terkait suatu perusahaan memproduksi x unit barang dengan biaya.
Hasil tersebut diperoleh dengan mencari nilai stasioner. Itulah yang dapat kami bagikan terkait suatu perusahaan memproduksi x unit barang dengan biaya. Jika barang tersebut terjual habis dengan harga rp40.000,00 tiap unit maka keuntungan maksimumnya yang diperoleh perusahaan tersebut adalah rp32.000,00. Jika barang tersebut terjual habis dengan harga.36.000,00 tiap unit, tentukan keuntungan maksimum yang diperoleh perusahaan tersebut ! Jika barang tersebut terjual habis dengan harga rp40.000,00. Jika barang tersebut terjual habis dengan harga rp50.000,00 tiap unit, maka keuntungan maksimum yang diperoleh perusaan tersebut adalah …. Feb 13, 2018 · suatu perusahaan memproduksi x buah barang. Suatu perusahaan memproduksi x unit barang dengan biaya (4x²−8x+24) ribu rupiah untuk tiap unit. Jika barang tersebut terjual habis dengan harga rp 50.000,00 tiap unit, maka keuntungan maksimum yang diperoleh perusahaan tersebut adalah. Jika barang tersebut terjual jika barang tersebut terjual habis dengan harga rp50.000,00 tiap unit, maka tentukanlah keuntungan Mar 17, 2014 · suatu perusahaan memproduksi x unit barang dengan biaya (5x2 −10x + 30) dalam ribuan rupiah untuk tiap unit.
Berbagi
Posting Komentar
untuk "Suatu Perusahaan Memproduksi X Unit Barang Dengan Biaya : Sebuah Perusahaan Memproduksi X Unit Barang Brainly Co Id : Suatu perusahaan memproduksi x unit barang dengan biaya (4x²−8x+24) ribu rupiah untuk tiap unit."
Posting Komentar untuk "Suatu Perusahaan Memproduksi X Unit Barang Dengan Biaya : Sebuah Perusahaan Memproduksi X Unit Barang Brainly Co Id : Suatu perusahaan memproduksi x unit barang dengan biaya (4x²−8x+24) ribu rupiah untuk tiap unit."